Газета ЭПР
Смотреть статьи свежего номера газеты ЭПР
Смотреть статьи в архиве газеты ЭПР
Смотреть статьи по разделам газеты ЭПР
Архив выпусков в PDF
Новости энергетики
Интервью
Видео
Эксперт месяца
Мероприятия
Контакты
Библиотека
Каталог энергетика.ru
Компании-партнеры
Продукция
Новости компаний
Видео
Статьи
Услуги
Выставки
Помощь
Рынок и аналитика
Спецпроекты
Отраслевое тарифное соглашение
Распределенная генерация и ВИЭ
Рейтинг электросетевых компаний
Энергоэффективность
Рекламодателям
Вход
Регистрация
16+
Каталог энергетика.ru
Компании-партнеры
Продукция
Новости компаний
Видео
Статьи
Услуги
Выставки
Помощь
Рынок и аналитика
Спецпроекты
Отраслевое тарифное соглашение
Распределенная генерация и ВИЭ
Рейтинг электросетевых компаний
Энергоэффективность
Рекламодателям
Вход
Регистрация
16+
Газета ЭПР
Смотреть статьи свежего номера газеты ЭПР
Смотреть статьи в архиве газеты ЭПР
Смотреть статьи по разделам газеты ЭПР
Архив выпусков в PDF
Новости энергетики
Интервью
Видео
Эксперт месяца
Мероприятия
Контакты
Библиотека
⋮
Реклама ООО «Русь-Турбо»
Erid: 2VfnxwFwhvH
Главная
 / 
Каталог Энергетика RU
 / 
Новости компаний
 / 
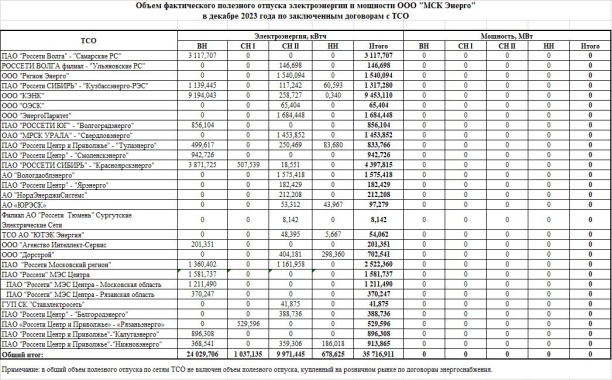
Объем фактического полезного отпуска электроэнергии (мощности) ООО "МСК Энерго" в декабре 2023 года по заключенным договорам с ТСО
Назад
Объем фактического полезного отпуска электроэнергии (мощности) ООО "МСК Энерго" в декабре 2023 года по заключенным договорам с ТСО
В избранное
ООО «МСК Энерго»
24 января 2024, 09:55
Информация о компании
Видео компании
Новости компании
Статьи компании
Опубликовано: 24 января 2024, 09:55
4786
Поделиться
×
Поделиться в социальных сетях
Telegram
WhatsApp
ВКонтакте
Мой Мир
Одноклассники
Распечатать
Отправить по E-mail
Видео ЭПР
Перейти в RuTube
Перейти на VK видео
Вячеслав Мартынов: распределённая генерация для нефтегазового комплекса
16 февраля 2026
Алексей Фадеев: нефтегазовые проекты в Арктике
14 февраля 2026
Елена Пронина: Важные изменения в законодательстве и наиболее знаковые судебные дела 2025 года
25 января 2026
Футуролог Сергей Переслегин: ИИ приведет к безработице, но в энергетике будет нехватка специалистов
17 декабря 2025
Анатолий ЧУГИН: «Юго-Западная ТЭЦ отработала год на "пять с плюсом"»
15 декабря 2025
Дмитрий Скворцов в Открытой студии газеты «Энергетика и промышленность России» на МФЭС-2025
10 декабря 2025
Эдуард Шереметцев в Открытой студии газеты «Энергетика и промышленность России» на МФЭС-2025
16 декабря 2025
Подпишитесь прямо сейчас!
Самые интересные новости и статьи будут в вашей почте!
Подписаться
© 2001-2026. Ссылки при перепечатке обязательны. www.eprussia.ru зарегистрировано Федеральной службой по надзору в сфере связи, информационных технологий и массовых коммуникаций (Роскомнадзор), регистрационный номер и дата принятия решения о регистрации: № ФС 77 - 68029 от 13.12.2016 г.
Политика в отношении обработки персональных данных
Конфиденциальность персональной информации